山东凯宏风机有限公司
联系人:朱凯
手机:13853351322
网址:www.kaihongfengji.com
地址:山东省淄博市周村区萌水镇北安村
Y8-39离心风机介绍:
适用于0.5吨-35吨出力的工业锅炉以及窑炉、各种高温引风的工况,耐温250摄氏度,特殊要求可定制耐高温、耐腐蚀型,可耐酸碱,耐温1150摄氏度。风机整机出厂均带电机、整体支架、水冷传动组和手动调风门。
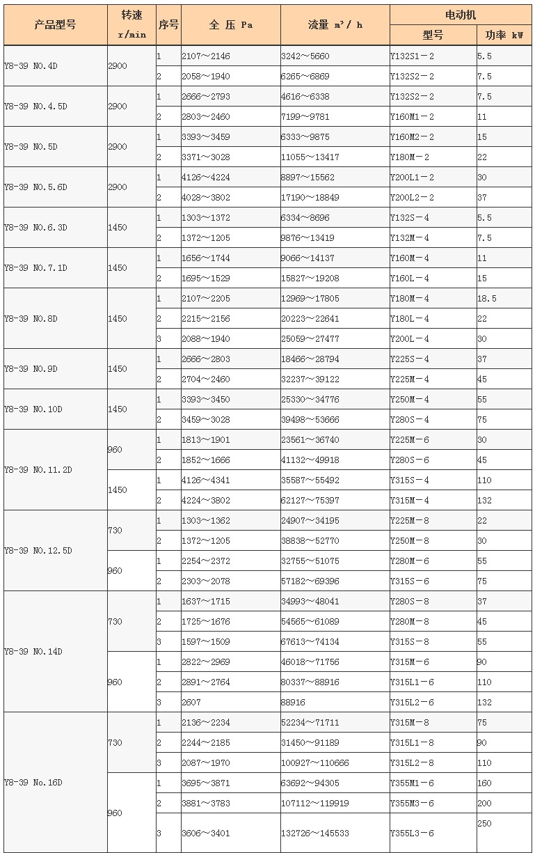
Y8-39离心风机性能
1、本风机制成单吸入。机号有No4、No4.5、No5、No5.6、No6.3、No7.1、No8、No9、No10、No11.2、No12.5、No14、No16十三个机号。
2、本风机又可制成顺时针旋转和逆时针旋转两种形式,从传动部正视风机,如叶轮顺时针旋转者称为右旋风机,以右表示,反之称左旋风机,以左表示。
3、风机的出口位置以机壳的出口角度表示,右旋风机、左旋风机均可制成0°、45°、90°、135°、180°、225°六种角度。
Y8-39离心风机参数表

手机网站 |
扫码加好友 |